2025抑郁症治疗取得多项突破,人工智能方案耀眼
据世界卫生组织统计,全球超3亿人被抑郁症困扰,女性抑郁症的发病率约是男性的1.5倍。全球范围内超过10%的孕妇和产后的女性经历抑郁症。自杀是15至29岁人群的第三大死因。重度抑郁症在美国每年带来约3262亿美元的社会经济负担。

图源:unsplash
然而现有治疗仍面临诸多瓶颈,一线药物有效率仅40%-65%,约三分之一患者属难治性病例,且存在起效慢、副作用明显等问题,严重影响治疗依从性。对千万患者而言,研发突破从来不是单纯的行业进展,而是照亮困境的希望之光。这些探索不仅致力于破解现有治疗痛点,更在为不同亚型、特殊人群提供精准解决方案。
抗抑郁药物研发最新进展
10 月 30 日,江苏吉贝尔药业股份有限公司(下称“吉贝尔”)同步披露2025 年三季报与核心在研管线进展:旗下自主研发的抗抑郁 1 类新药JJH201501已顺利完成Ⅲ期临床试验,结果显示其疗效显著优于安慰剂组,且在安全性指标上展现出优于临床常用药物伏硫西汀的突出潜力。

图源:static.cninfo
另外生物制药公司Neurocrine Biosciences与武田制药合作的在研抑郁症药物NBI-1070770,II期临床试验未达预设主要终点,不过该药物耐受性良好且无严重不良事件报告,公司将持续分析数据以确定后续方向。此外,Neurocrine在抑郁症领域另有布局,其另一款药物osavampator已公布积极II期数据,并于2025年1月启动III期临床。

图源:prnewswire
抑郁症治疗新机制
单次亚麻醉剂量的氯胺酮能迅速、显著且持久地产生抗抑郁效果,电休克疗法(ECT)也是起效迅速的抗抑郁干预手段,但二者的作用机制长期不明。
2025 年 11 月 5 日北京脑科学与类脑研究所罗敏敏团队在《Nature》发表的研究Adenosine signalling drives antidepressant actions of ketamine and ECT揭示,腺苷信号是这两种疗法发挥抗抑郁作用的核心途径。
该研究通过小鼠模型发现,氯胺酮和 ECT 会在包括内侧前额叶皮质(mPFC)和海马体在内的关键情绪调节脑区引发强烈腺苷激增,遗传或药理学上破坏 A1 和 A2A 腺苷受体可消除二者的抗抑郁效果,且腺苷在 mPFC 中的信号传导特异性驱动抗抑郁作用,其中氯胺酮通过调节细胞代谢提高腺苷水平,研究团队据此开发出抗抑郁效果更好、副作用更少的氯胺酮衍生物,此外,急性间歇性低氧这一非药物干预手段也可通过提高大脑腺苷水平产生抗抑郁效果,该研究证实腺苷是快速起效抗抑郁药物 / 疗法的关键介质,也是治疗重度抑郁症的可操作靶点,为开发可扩展的非侵入式抗抑郁疗法提供了重要依据。

图源:nature
另外随着人工智能技术的飞速演进,已经融入教育、金融、医疗等多个领域,在提升效率、精准决策上展现出强大能力。现如今自然而然想到将AI应用于精神健康领域,通过对海量临床数据的分析,以期打破传统治疗中存在的问题。

图源:winss
人工智能+多模态信息联合筛查抑郁症
中国海洋大学生物医学工程发表在nature子刊上的研究Development of the treatment prediction model in the artificial intelligence in depression–medication enhancement study显示AI辅助生理和行为信息的方法在抑郁症筛查中显著优于单模态。强调了人工智能算法在多模态抑郁筛查中的巨大潜力,尽管存在误报和假阴性风险、数据隐私和安全问题以及监管审批要求等挑战,人工智能仍然是帮助医生诊断的重要工具。

图源:npj
人工智能+药物联合治疗抑郁症
2025年6月23日由加拿大的麦吉尔大学、Aifred Health以及谷歌等机构联合发表在nature子刊mental health research上的最新研究Development of the treatment prediction model in the artificial intelligence in depression–medication,该研究开发出一种人工智能模型,首次实现10种抗抑郁药疗效精准预测,让抑郁症治疗从“经验试错”迈入“智能匹配”时代!

图源:npj
不同于以往仅能预测1-2种药物疗效的工具,抑郁症-药物增强疗法“AID-ME模型”用9042名中重度抑郁症患者的临床试验数据训练,覆盖了8种一线单药(如西酞普兰等)和2种常用联合用药方案,是目前覆盖药物种类最多的抑郁症AI预测工具。目前,该AI模型作为静态模型部署于Aifred临床决策支持系统(Aifred CDSS),作为人工智能抑郁症药物增强(AID-ME)研究(NCT04655924)。研究团队也坦言模型仍有提升空间:比如目前数据主要来自北美和西欧人群,未来需纳入更多地区数据以适配不同人种;且未所有一线药物(如伏硫西汀),后续将补充更多数据完善模型。
但不可否认的是,这场“AI+药物”的联合,为抑郁症治疗打开了新大门!
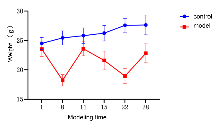
中洪博元失眠模型介绍——小鼠抑郁症模型
实验动物:C57BL/6小鼠(雄性,8周龄,22 g左右)
造模方法:模型组小鼠暴露于皮质酮环境中4周。同时,给予慢性不可预知温和刺激(CUMS)。
造模周期:4周
阳性药物:氟西汀
模型验证



参考文献:
1. World Health Organization. "Depressive disorder (depression)." WHO News Room, 29 Aug. 2025, https://www.who.int/news-room/fact-sheets/detail/depression.
2.Heinz, Michael V., Daniel M. Mackin, Brianna M. Trudeau, et al. 2025. "Randomized trial of a generative AI chatbot for mental health treatment." NEJM AI 2, no. 4: https://doi.org/10.1056/AIoa2400802.
3.Benrimoh D, Armstrong C, Mehltretter J, Fratila R, Perlman K, Israel S, Kapelner A, Parikh SV, Karp JF, Heller K, Turecki G. Development of the treatment prediction model in the artificial intelligence in depression - medication enhancement study. Npj Ment Health Res. 2025 Jun 23;4(1):26. doi: 10.1038/s44184-025-00136-8. PMID: 40550942; PMCID: PMC12185704.
4.Yue, C., Wang, N., Zhai, H. et al. Adenosine signalling drives antidepressant actions of ketamine and ECT. Nature (2025). https://doi.org/10.1038/s41586-025-09755-9
免责声明:本号内容仅供读者学习和交流。文章、图片等版权归原作者享有,如有侵权,请留言联系。
关于中洪博元
江西中洪博元生物技术有限公司成立于2015年,11年来坚持大规模标准化创制人类疾病动物模型,开展更接近人类疾病发生发展机制、更有临床转化价值的原创动物模型技术攻关,目前,中洪博元已合作药企200余家,开展项目300余项,积累了丰富的药理药效项目经验。
中洪博元秉承助力新药研发理念,开展基于动物疾病模型的药效研究,拥有获得AAALAC完全认可的实验平台。公司配备了全种类实验场地,大小鼠SPF级标准实验室3000平米,猪、犬、羊、兔大动物实验室4000平米,检测中心5000平米。平台使用SPF级动物,配备10万级洁净度屏障环境,在规范的SOP和严格的QA流程管理下,确保每个实验高标准完成。
如想了解实验详情欢迎咨询:
💬 微信公众号「中洪药效评价」咨询
